Aero-acoustics Resonance modeling
HOME <Aeroacoustics Solutions < <Aeroacoustic Noise generated from buildings < Aero-acoustics Resonance modelingIdentifying the source of noise helps characterizing the type of noise and the predictive method to be used to estimate the noise levels. It also allows providing mitigation solutions for noise reduction and control. Depending on the geometry of the source and wind speed and direction, frequencies from aerodynamic noise can be close to resonant or natural frequencies of these geometries. This is not a desirable situation as this will create higher levels of noise. Thus, it is recommended to determine the frequencies that coincide or are close to the natural frequencies of the geometry for a wide range of wind speeds and directions. At EASTechnology, we use the following models to determine if there is a potential resonance problem for a given geometry:
Cavity noise model: The cavity noise can occur at building joints such as a mullion, at an open window or at a balcony. Depending on the cavity geometry, a coupling map or mode map can be established to determine which wind speed will produce the frequencies associated with the aerodynamic pressure fluctuations that can be close to the resonant or natural frequencies (or modes) of the cavity.
The Figure below illustrates a coupling map for a given cavity. The frequencies associated with the aerodynamic pressure fluctuations are estimated using CFD modeling or Rossiter modes. The ijk (i, j,k represent length, depth and width directions respectively) natural or resonant frequencies or modes of the cavity calculation are based on a wave propagation through an empty duct model.
In the figure below, the four colored lines correspond to 4 Rossiter modes, while the black line corresponds to the natural or resonant mode in the depth direction (i=k=0, j=1) for a deep cavity.
From this example and in the cavity depth direction, there are 3 frequencies (highlighted by red circles) that are close to the natural frequencies of the cavity. These frequencies occur at three different wind speeds.

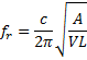
Helmholtz noise model: This is a particular case from the general cavity noise model. This noise occurs when a wind blows through an open long area or neck connected to a wide area (similar to a bottle). The natural or resonant frequency of the geometry is related to the wide area (A) and the length (L) of the neck by the following relationship

Where: c is the speed of sound and V is the volume of the bottom cavity or the wide area
Similarly to the cavity model, a coupling map can be established based on the above resonant frequency.